Daniel Adamczyk
Der Schlüssel
zum Universum
Aufl. 1
26. März 2026
Einleitung.................................................................................. 1
Das neue Gesetz........................................................................ 1
Der Faktor q............................................................................... 1
Die Dunkle Materie................................................................... 1
Die Dichte.................................................................................. 1
Der Schlüssel............................................................................. 1
Der Radius des Alls................................................................... 1
Die Masse.................................................................................. 1
Die äquivalente Geschwindigkeit.............................................. 1
Der Hubble-Parameter............................................................... 1
Anwendungen............................................................................ 1
Ausblick..................................................................................... 1
Resümee.................................................................................... 1
Ein Beispiel............................................................................... 1
Vollständiger Schlüssel.............................................................. 1
Das Alter.................................................................................... 1
Fazit........................................................................................... 1
Epilog........................................................................................ 1
Übersicht Berechnung............................................................... 1
Dieses Buch beschäftigt sich mit Kosmologie, den Theorien vom Universum als Ganzes also. Zu jeder Epoche machten sich Menschen Gedanken über den Kosmos, wenn sie in den Sternenhimmel schauten. Auch der berühmte Forscher Albert Einstein tat das. Seine Kosmologie fußt noch heute auf seiner Relativitätstheorie. Ohne Fragmente dieser kommt auch dieses Buch nicht aus.
Die Relativitätstheorie ermöglichte den Forschern viel genauere Interpretationen des Blicks ins All. George Lemâitre fand infolgedessen 1925 die Urknalltheorie, die über weite Strecken die Wissenschaft beherrschte. Die Astronomie ermittelte in den letzten hundert Jahren aber Fakten, die dem entgegen sprechen. Diese neueren Theorien sind unglaublich kompliziert zu berechnen.
1932 gründete der Astronom Jan Hendrik Oort die Vermutung Dunkler Materie. Es war ihm aufgefallen, dass die Masse der Galaxien nicht ausreicht, um ihre Rotationscharakteristik zu erklären. Es braucht dazu erheblich mehr Masse – eben die Dunkle Materie. Später erkannte man, dass auch die Bewegungen von Galaxienhaufen und -superhaufen nicht ohne diese Dunkle Materie beschreibbar ist. Die Relativitätstheorie half anhand der Expansionscharakteristik, die George Lemâitre begründet hatte, eine schlüssige Beschreibung, die in diesem Buch von großer Bedeutung für die gegenwärtige Größe des Kosmos ist.
Die Größe des Weltalls hat sich mit der Zeit immer wieder geändert. Vor wenigen Jahren war es Hans-Jörg Fahr, der begründete, dass das Universum erheblich größer sein muss. Über die Zeit der uns sichtbaren Expansion habe es sich weiter ausgedehnt, so dass es jetzt bald dreimal so groß sei wie vordem. Wieder andere vermuten ein mehrdimensionales Universum, dessen Größe das Hundertfache dessen erreicht: unser Universum sei die dreidimensionale räumliche Oberfläche einer vierdimensionalen Kugel. Unschwer lässt sich ermessen, dass die Mathematik hierzu und insgesamt in der modernen Kosmologie von großem Anspruch ist.
Ging man bislang davon aus, die Ausdehnung des Universums setze eine Bewegung der Galaxien durch den Raum voraus, so fand man, dass es der Raum ist, der zwischen diesen anwächst. Das zugehörige Phänomen wird Dunkle Energie genannt und bestimmt den Großteil der Energie des Alls. Diese konnte ermittelt werden, und in ihrer Summe deutet sie auf einen euklidischen Raum für das Universum hin. Man nennt das flaches Universum.
Da der Autor sich weniger als Wissenschaftler sieht, sondern vielmehr als Entdecker, Erfinder und Forscher, beschränkt er sich vor dem Hintergrund des stetigen Fortschritts der Wissenschaft mit ihren vielen, einander konkurrierenden Theorien auf die Kosmologie der Urknalltheorie. Dies in der Hoffnung, die hier geschaffenen Grundlagen mögen den sich wandelnden, modernen Kosmologien per Transformation helfen.
Zwar vermutet die Wissenschaft, dass eine Erklärung für die Dunkle Materie der Schlüssel zum Verständnis des Universums ist, aber nahezu hundert Jahre intensiver Forschung daran konnten das Rätsel der Dunklen Materie nicht lüften. Die gegenwärtige Physik ist nicht dazu in der Lage ist es zu lösen. Es fehlt etwas. Dieser Aufsatz bietet ein neues Gesetz an, dessen Beweis noch aussteht, das Rätsel aber löst.
Das Büchlein stellt neben der fertigen Theorie z.T. auch ihre Entwicklungsgeschichte dar. Sie ist wie das Universum gewachsen. Unstimmigkeiten bittet der Autor daher zu entschuldigen.
Am Ende dieses Büchleins findet sich zur Sicherheit von Übertragungsfehlern eine Ansicht aus dem Berechnungs-programm des Autors.
Es war nicht leicht, den Schlüssel zu finden.
Der Zusammenhang relativistischer Massen
verspricht zwar eine verlockende Möglichkeit an, gravitativ wirksame Masse zu generieren, diese aber kann aufgrund mangelnder Geschwindigkeit der Bewegung zwischen den Galaxien nicht zum Erfolg führen.
Nun ist darin aber die Zeitdehnung aus der speziellen Relativitätstheorie das tragende Element:

Zeitdehnung ist nun aber nicht nur kinetisch begründbar. Zeitdehnung gibt es auch unter Gravitation:

Der Vorschlag für das neue Gesetz lautet angesichts dieser Vorgeschichte:
![]()
Damit würde ein Gravitationspotential die in ihm befindliche Masse vergrößern. Eine vorläufige Überprüfung bestätigt die Äquivalenz beider verschiedenen Zeitdehnungen:

Daraus wird mit dem Gravitationspotential
eine Geschwindigkeit v generiert:

Mit dem e im Index wird klar, dass es sich um die 2. kosmische Geschwindigkeit handelt, also der Fluchtgeschwindigkeit aus einem Gravitationspotential.
Dieser Ausdruck wird später noch von großer Bedeutung sein.
Nach dem neuen Gesetz vergrößert sich eine Masse m also in die Masse M:

Die Zeitdehnung
ist
nämlich stets kleiner eins.
Somit kann man dem neuen Gesetz einen Faktor q zuordnen:
![]()
Noch einfacher wird es, eliminiert man m:

Der Dunklen Materie wird gewöhnlich ein Faktor zur leuchtenden Materie zugeordnet. Dieser soll in etwa 5 sein. Das ergibt sich aus
,
da die Dunkle Materie
nicht
zur leuchtenden Materie
gezählt
wird.
Dies sieht der Autor anders: Da es sich mit dem neuen Gesetz
um eine Massenvergrößerung handelt, ist
das
Produkt von
.
Insofern lautet der Faktor q vorerst
.
Das Universum beinhaltet neben der leuchtenden Materie auch
noch eine unsichtbare Materie, die Dunkle Energie, mit dem Dichteparameter
.
Diese gehört dazu.
Das andere ist, dass die leuchtende Materie des Universums schon immer da war.
Das Universum muss sich irgendwann einmal ausgedehnt haben, denn unter den Bedingungen des neuen Gesetzes ist es statisch, ruhend, es war schon immer da. Und so verläuft die Dichte der Dunklen Materie zum Ursprung hin kubisch zunehmend:
![]()
Hierin ist a(t) der Skalenfaktor aus der Allgemeinen Relativitätstheorie von Albert Einstein (ART):

Die Gesamtdichte über den Blick in die Vergangenheit lautet damit
,
denn die Dunkle Energie bleibt über die Zeit konstant, ist Stand der Wissenschaft.
Der Übergang von
zu
lautet:
![]()
![]()
wiederum
ergibt sich aus
![]()
Diese Größe ist ebenfalls Teil der ART.
Will man hier gemäß der Dunklen Materie analog einen Faktor unterstellen, so kann dieser nur lauten:
![]()
Demzufolge schreibt sich der neue Zusammenhang

bzw.
,
mit ausgeschriebener linker Seite.
Mit dem Schlüssel lassen sich Aussagen über das Universum
treffen. Zuallererst beginnt der Autor mit dem Radius des Alls zur Gegenwart.
Hierzu wird der Schlüssel mit
konkretisiert.
Da a(t) zur Gegenwart 1 ist, lautet der Ausdruck:

Mit der Konkretisierung der Masse M
![]()
und dem Faktor q für die Gegenwart lautet der Schlüssel

Aus diesem kann nun
,
der Radius des Universums zur Gegenwart, extrahiert werden:
,
ein zugegebenermaßen ungewohnter Ausdruck. Nicht aber ungewohnt ist seine zahlenmäßige Größe:
![]()
Sie entspricht ~c/H0.
Sehr einfach kann jetzt die Masse des Universums über der Zeit bestimmt werden:
Zwar geht der Autor angesichts des Schlüssels von einem statischen Universum aus, aber auch dieses Universum muss einmal entstanden sein.
Es wird davon ausgegangen, das sich der Radius mit dem Skalenfaktor entwickelt hat:
![]()
Da nach etablierter Ansicht die Materie mit dem Urknall gebildet wurde und so schon immer da war, ist
![]()
Mit der Gesamtdichte über der Zeit lautet es
![]()
Hier ist auch der Grund zu finden, warum die Dichte der Materie zum Ursprung hin kubisch ansteigt.
Um es vorweg zu nehmen, unten das Schaubild der Masse:

Der kubische Zusammenhang der Dichte gleicht die Masse der Materie aus, so dass sie konstant bleibt. Die Dunkle Energie aber wächst kubisch mit dem Radius.
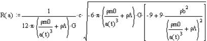
Der Hubble-Parameter gründet sich auf der Vermutung von Expansionsgeschwindigkeiten als ein expandierendes Universum. Hier aber sieht der Autor angesichts des Schlüssels ein statisches Universum. Mit dem Ansatz

wird über Extraktion von v und dem Einsetzen des Gravitationspotentials
eine Geschwindigkeit v generiert:

Diese Geschwindigkeit erlaubt es jetzt, zwischen den verschiedenen Zeitdehnungen zu wechseln. Daher wird v auch die äquivalente Geschwindigkeit genannt, da sie der Gravitation äquivalent ist. Diese ist es somit, die der Berechnung des Hubble-Parameters zugrunde liegt.
Die Wissenschaft hat eine analytische Lösung für die Expansionscharakterist des Universums gefunden:

Mit einer Umrechnung von
zeigt
das Schaubild unten den Verlauf H’s:

Allerdings fehlen viele Informationen. Der Schlüssel hat geholfen, diese zu verifizieren. Gemäß der Grundgleichung
,
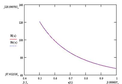
wie sie George Lemâitre entwickelt hat, entwickelt der Autor diese weiter. Wie noch gezeigt werden wird, ist der Hubble-Parameter dieser Theorie dem Hubble-Parameter der Wissenschaft äquivalent, so dass er als Bezeichnung auch einen sehr ähnlichen Buchstaben erhält. Dieser ist Н (Eta). Die erweiterte Vorschrift lautet:
![]()
Nicht nur, dass sich wie im unten gezeigten Schaubild
und
decken,

nein, beide bilden auch das Ergebnis der empirischen Forschung ab (Schaubild unten).

Der Unterschied zur Empirie liegt an dem
und
hier
zugrunde liegendem
der
neueren, empirischen Forschung. Um den Unterschied der bereits auf
gebrachten
und
zu
quantifizieren, sei ihre Differenz gebildet:

Sie zeigt die Grenzen der Software des Autors.
Der Verlauf der Geschwindigkeit v (s. Schaubild unten)

wirft gleich mehrere Fragen auf:
Zum einen sieht man in a(t)=1 eine Geschwindigkeit sehr nahe
der Lichtgeschwindigkeit. Das legt die Frage nahe, ob v(a) möglicherweise die
Lichtgeschwindigkeit ist, die sich demnach in der Vergangenheit geändert hätte,
schließlich muss bei empirische ermittelten Parametern mit Unsicherheiten
gerechnet werden. Bei näherem Hinsehen aber stellt sich heraus, dass v(a0)
= c ist, wenn das Universum leer ist, sprich
.
Des Weiteren hat die Wissenschaft schon herausgefunden, was das Schaubild qualitativ in erster Linie zeigt, nämlich einen Anstieg zur Gegenwart hin. Adam Riess sieht diesen Anstieg als beschleunigte Expansion. Tatsächlich kann der Beginn dieser der Gravitation äquivalenten Beschleunigung seit 6.104 Mrd. Jahren errechnet werden:

Allerdings sei hier betont, dass der Autor von dem Ansatz dieser Theorie her ein statisches Universum sieht. Insofern ist das Schaubild für v(a) Illusion.
Die dieser Theorie zugrundeliegende gravitative Zeitdehnung resultiert aus der ART. In der Wissenschaft aber existiert sie auch unter einem anderen Ausdruck:
![]()
Richard Feynman hat dies entdeckt. Auch der Autor ist seiner Vermutung erlegen und hat vor dem hier behandelten Schlüssel seine Grundlagen darauf fundiert entwickelt. Beide Kalkulationen basieren also auf demselben Prinzip, das hier anfangs vorgestellt wurde. Doch die Theorie nach Feynman enthält einen Fehler, den der Vergleich der Zeitdehnungen zeigt:

Die Extraktion von v ergibt:

Die Geschwindigkeit wirft hochinteressante Werte zurück. Im Prinzip bleiben diese stets bei der Lichtgeschwindigkeit c und können diese nicht überschreiten, aber den Hubble-Parameter wirft die Theorie nicht aus.
Erstaunlicherweise aber erscheint der Hubble-Parameter, nimmt
man die 2. kosmische Geschwindigkeit, wie sie auch Teil des Themas ist. Doch
kann dies eben nicht begründet werden. Zudem ist auch der Radius des Universums
von c/H0 arg verschieden, nämlich ~
c/H0.
Auch ergibt sich in q(t) eine Singularität bei
![]()
was sehr verlockend ist, da damit ein
![]()
erreicht wird, was auch schon in der Diskussion stand.
Zudem fragt sich die Wissenschaft, warum denn in der Tiefe der Beobachtung ein undurchsichtiger Raum erscheint? Es könnte ein Hinweis auf die Singularität sein. Aber die Logik der Theorie gibt das nicht her.
Doch auch die erwählte Kalkulation wirft für q(a) eine Singularität aus, deren Ort der Autor allerdings nur optisch bestimmen kann:

Der Schweizer Astronom Fritz Zwicky fand 1933 einmal eine Galaxie, für die q(a) ≈ 400 gilt, was ihm nicht geglaubt wurde. Der von ihm gemessene Abstand bei 7500 km/s ist angesichts damaliger Vorstellungen von der Hubble-Konstante sicherlich falsch. Der Ansatz des Autors

rettet posthum Zwickys Ehre. Mit aZwicky = 0.341 lässt sich der Abstand dann entgegen Zwicky’s auf a0 – aZwicky quantifizieren.
Angesichts eines statischen Kosmos und der anziehenden Wirkung der Massen bleibt für die Dunkle Energie nur die ausgleichende Wirkung. Dies zu erforschen bedarf es professionelleren Werkzeugs als das des Autors.
Die Befürchtung, das Universum könnte, wie die Expansionstheorie
vorschlägt, in einem trostlosen, leeren Raum enden, liegt hinsichtlich eines
expandierenden Kosmos nahe. Es gibt daher ein veritables Interesse daran, den
Grund dafür zu suchen. Die Vermutung lautet, dass die Dunkle Energie
entgegen
der Theorie zunimmt. Dem will der Autor im Folgenden nachgehen.
Die letzten Kapitel haben aber gezeigt, dass die Masse des hier betrachteten statischen Universums aufgrund der theoretischen Grundlagen anwächst, was schließlich auch begründbar ist.
Der Schlüssel kann hier helfen. Für einen Blick in die Vergangenheit muss der Schlüssel weiter konkretisiert werden.

Es empfiehlt sich, stets die kritische Dichte im Auge zu behalten:
![]()
Und der Schlüssel konkretisiert sich weiter:

Man muss kein erfahrener Mathematiker sein, um zu erkennen, dass die linke und die rechte Seite über der Zeit nicht gleich sein können. Sie sind es nur in der Gegenwart. Damit der Schlüssel aber zu allen Zeiten funktioniert, ist es möglich. einen Ausgleichsfaktor s bzw. s(a) einzuführen:

Die Extraktion von s(a) ergibt:

Bei Licht betrachtet beweist der Ausgleichsfaktor allerdings nur, dass der Schlüssel nur für die Gegenwart gilt:
Mit
und
![]()
wird der Schlüssel

lautet
damit:

Das Schaubild unten zeigt damit für
:

Wie erwartet sind die kritische Dichte
und
die kritische Dichte der Theorie
unter
Hinzunahme des Ausgleichsfaktors s(a) deckungsgleich.
Wie im Kapitel „Anwendungen“ bereits gezeigt, gilt das Mantra des Beweises, diese Theorie mit der Nachstellung des Hubble-Parameters der Wissenschaft zu bestätigen, für beliebige Radien R0. Will man nun aber dem Schlüssel Glauben schenken, schließlich ist der hier erschlossene Radius des Universums durchaus glaubwürdig, so läuft es darauf hinaus, dass

den Verlauf der kosmologischen Parameter bestimmt (Schaubild s.u.)

Angesichts dessen macht es Sinn, auch den vollständigen Schlüssel

zu akzeptieren.
Es hat sich dem Autor gezeigt, dass die Konstanten mathematisch zu ermitteln sind, allerdings sind die Ausdrücke sehr unhandlich. Man bedenke, dass auch R0 nur aus Konstanten besteht:

Demzufolge sind es die Konstanten, die in der Vergangenheit andere waren.
Ausgehend von der Gegenwart können M(a) und v(a) unter festem R(a) bestimmt werden. Hinzu kommt die Logik, dass in dem Zusammenhang stets nur die innere Masse M(a) zum Tragen kommt, was im Schlüssel auch mittels des Skalenfaktors berücksichtigt wird.
Was der Autor sagen will, ist, wenn man die Steuerung durch die gravitative Zeitdehnung akzeptiert, ist es vor dem Hintergrund dieser Betrachtungen möglich, die Konstanten in Abhängigkeit von der Zeit anhand des Schlüssels zu ermitteln.
.
Es ergibt sich hieraus jeweils R0 des betrachteten Teiluniver-sums, dessen betrachteter Skalenfaktor jeweils 0 … t0 ist. Die gleichzeitige Arbeit mit dem jeweiligen Teiluniversum ist nicht möglich, aber auch gar nicht notwendig. Schließlich ist der Algorithmus bekannt. Will man dies jedoch trotzdem miteinbeziehen, so muss dafür ein eigener, weiterer Skalenfaktor eingebaut werden. Das wird sehr kompliziert.
Jetzt ist es eine Frage der Software, mit dem obigen Schlüssel den Wert der Konstanten in der jeweiligen, vergangenen Gegenwart zu bestimmen.

Aus obigem Schlüssel kann ein R in Vertretung für R0
gefunden werden, indem man R extrahiert. Nun setzt man t= t1. Um nun
eine Konstante
zu
bestimmen ersetzt man im Schlüssel R0 durch R(t1). Die
Extraktion von
aus
dem veränderten Schlüssel ergibt den veränderten Wert
.
Dieser ist gleich dem Wert von
,
weil sich der Schlüssel nur auf
beziehen
kann. Ein Schaubild unten vergleicht R und a(t) R0 über den gesamten
Zeitraum des Universums:

Die wesentliche Information ist die, dass sich am Beispiel
betrachtet
nicht
ändert.
Der vollst. Radius des Universums R(a) des Beispiels lautet:
Was genau der Radius des Universums zur Gegenwart ist
,
wenn man die kritische Dichte nach der Zeit einfügt:
![]()
Der Schlüssel lautete:

Damit lautet der vollständige Schlüssel:

Überprüfung des Schlüssels mittels Graphen:
Linke Seite:

Rechte Seite:

Vergleich der Graphen:

Die Graphen sind deckungsgleich und somit ist dies die Vorlage für die Überprüfung der Konstanz der Parameter und Konstanten: Weder die Dichteparameter noch die Lichtgeschwindigkeit oder die Gravitationskonstante ändern sich über der Zeit.
Der Faktor q(a) ist damit auch nach der Zeit bestimmt und liegt auf beiden Seiten separat zur gewünschten Anwendung bereit.
Überprüfung am Hubble Parameter:
H(a) ist noch bekannt. Die Herleitung des Hubble-Parameters hier geht über die der Gravitation äquivalenten Geschwindigkeit:

und
![]()
Die überlagerten Graphen ergeben untenstehendes Schaubild:

Um eine Aussage über die Zukunft des Kosmos zu machen, wird ein Faktor Α als A a(t0) dem Schlüssel hinzugefügt:
Da aber a(t0) = 1 ist, heißt der Schlüssel zu diesem Zweck:

Damit ist es möglich, Aussagen über vergangene und zukünftige Gegenwarten (Erkl. s. Kap. „Ein Beispiel“) zu treffen:
Der Faktor A betrifft Zahlen von >0 … ∞. Für die folgenden Schaubilder gilt 0.01 … 4:

Hier heißt der Radius des Universums RA(A).
Bereits beim 4- bis 5-fachen des heutigen Alters erreicht das Universum nahezu seine endgültige Größe von
![]()
Masse des Universums M(A):

Geschwindigkeitsäquivalent zur Gravitation υ(A):

Wie bereits oben genannt, bezieht sich Adam Riess’ beschleunigte Expansion auf eine Entfernungsmessung per Skalenfaktor a(t), in deren Ansicht R = a(t) R0 ist. Der Autor zieht den Schlüssel und damit die Ansichten dieser Theorie vor, da sich jede Variable auf vergangene Gegenwarten bezieht. Hier kann u.U. eine Überprüfung der Perspektive dieser Theorie helfen.
Infolgedessen ist es eine Frage der Astronomie, die wahren Entfernungen zu Riess’ Meinung zu bestimmen. Es ist ein Streit zwischen den unterschiedlichen Rotverschiebungen.
Der Autor bietet hier einen vereinfachten Vergleich der verwendeten Entfernungsbestimmung an:
![]()

Und zum Schluss die Änderung von H0(A) bzw. dem Hubble-Parameter mit A = 0.5 … 1.

![]()
So gesehen kann aktuell noch nicht von einem statischen Universum gesprochen werden. Es wächst seit Urzeiten einem statischen Finale entgegen.
Auch wenn mittels des Hubble-Parameters die Änderung der Expansionscharakteristik ermittelt werden kann, so ist doch im Rahmen dieser Theorie unklar, wann die Werte jemals als Gegenwartswerte galten. Ein Wachstumsparameter fehlt völlig. Eine zweite Messung H0‘s ist für dessen Bestimmung aus-sichtsreich, nur ist die Frage: wann?
Mit Sicherheit aber ist das im Rahmen der Expansionstheorie gefundene Alter falsch, will man der Theorie des Autors Glauben schenken. Denn schließlich ist eine Expansion im Sinne eines Urknalls angesichts der Änderung des Grundes für die Rotverschiebung zum kosmischen Horizont hin Illusion.
Ein Beweis dieser Theorie könnte z.B. über die Prüfung der Zunahme Dunkler Materie in der Vergangenheit erfolgen. Der Faktor q(a) liegt in zwei Varianten vor und gibt dazu genaueste Auskunft.
Die These einer Massenvergrößerung mittels Gravitation ist gewagt und muss theoretisch und empirisch bewiesen werden. Der Autor ist Optimist und vermutet den theoretischen Beweis bereits in der Allgemeinen Relativitätstheorie.
Der Hubble-Parameter dieser Theorie resultiert aus einer der Gravitation äquivalenten Geschwindigkeit v, die die kosm. Rotverschiebung äquivalent zu einer Galaxienflucht ersetzt.
Das bedeutet nichts anderes als den Ersatz des Status Quo, nämlich den Ersatz des expandierenden Universums durch einen statischen, ruhenden Kosmos, dessen Ursprung einer Schöpfung gleicht.
Nach der Vorschrift ist der Hubble-Parameter
![]()
So gesehen ergibt sich:

dass Der Hubble-Parameter des Schlüssels stark vom empirisch ermittelten (blau gestrichelten) Hubble-Parameter der Realität abweicht.
Der Schlüssel funktioniert also nicht.

In diesem Buch wird das Rätsel der Dunklen Materie gelüftet. Die Wissenschaft vermutet dies als Schlüssel zum theoretischen Verständnis des Universums. Es ist so.
Die Zeitdehnung ist die Basis der Theorie. Diese steht und fällt mit den empirischen und theoretischen Beweisen. Angesichts der Hochtechnologie, die der empirischen Wissenschaft heute zur Verfügung steht, nähern wir uns der Wahrheit. Auch an der Allgemeinen Relativitätstheorie wird schon über 100 Jahre geforscht. Der Autor ist Optimist und glaubt an den Erfolg.
Dipl.-Ing. (FH) Daniel Adamczyk
Rotenhöfer Weg 36B
24768 Rendsburg
Tel. 04331-6641468
E-Mail: da_ada@web.de